Bitte drehen Sie Ihr Gerät in den Querformatmodus, um diese Website anzuzeigen.
Foto

Aufgaben

Aufgabe 1

Nenne Wörter, die dir einfallen, um zu beschreiben, was Energie ist.

Gib immer nur ein Wort ein und klicke auf „Einloggen“. Für jedes hinterlegte Lösungswort gibt es einen Punkt.

Punkte: 0
Noch kein Wort eingeloggt.
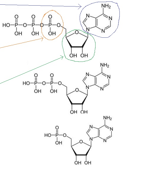
Abbildung ATP, ADP und AMP

Infotext

Im Alltag verbinden wir mit Energie oft Begriffe wie Kraft, Wärme, Bewegung oder Leistung. Diese Vorstellungen sind nicht falsch, aber in der Biologie muss der Begriff genauer gefasst werden.

Im biologischen Sinn ist Energie die Fähigkeit, Prozesse in Lebewesen anzutreiben. Zellen benötigen Energie, um Stoffe aufzunehmen, umzubauen, weiterzuleiten oder auszuscheiden. Auch Bewegung, Wachstum, Reizverarbeitung und der Aufbau körpereigener Stoffe sind nur möglich, wenn der Zelle Energie zur Verfügung steht.

Dabei liegt Energie in der Biologie nicht einfach „frei“ vor, sondern wird in chemischen Verbindungen gespeichert und bei Bedarf nutzbar gemacht. Ein besonders wichtiges Molekül ist dabei ATP. ATP dient in der Zelle als kurzfristiger Energiespeicher und als Energieüberträger. Deshalb wird ATP auch als „Energiewährung“ der Zelle bezeichnet.

ATP steht für Adenosintriphosphat. Es ist ein energiereiches Molekül, das in allen lebenden Zellen vorkommt und eine zentrale Rolle im Energiestoffwechsel spielt. Ohne ATP könnten viele lebenswichtige Vorgänge nicht stattfinden, zum Beispiel Muskelbewegungen, Gehirnaktivität, Herzschlag, aktiver Stofftransport oder Atmung.

ATP besteht aus drei Hauptbestandteilen:
1. Adenin – eine stickstoffhaltige Base,
2. Ribose – ein Zucker mit fünf Kohlenstoffatomen,
3. drei Phosphatgruppen.

Adenin und Ribose zusammen bilden das Adenosin. An dieses Adenosin sind Phosphatgruppen gebunden. Genau diese Anzahl an Phosphatgruppen ist wichtig für den Namen des Moleküls.



Wenn ATP eine Phosphatgruppe abgibt, wird Energie frei, die die Zelle direkt nutzen kann. Dabei steckt die meiste Energie in der Bindung zwischen der zweiten und der dritten Phosphatgruppe. Bei der Abspalzung des zweiten Phosphats wird weniger Energie frei und bei der Abspaltung des ersten Phosphats noch weniger.

Aufgabe 2

Beschrifte in der Abbildung die Bestandteile Adenin, Ribose und eine Phosphatgruppe.

Benenne anschließend die drei dargestellten Moleküle mit ihrer Abkürzung und ihrem ausgeschriebenen Namen. (Bsp. ATP / Adenosintriphosphat)

Begründe zum Schluss, wie die Moleküle zu ihrem Namen kommen.

Infotext

Im Alltag verbinden wir mit Energie oft Begriffe wie Kraft, Wärme, Bewegung oder Leistung. Diese Vorstellungen sind nicht falsch, aber in der Biologie muss der Begriff genauer gefasst werden.

Im biologischen Sinn ist Energie die Fähigkeit, Prozesse in Lebewesen anzutreiben. Zellen benötigen Energie, um Stoffe aufzunehmen, umzubauen, weiterzuleiten oder auszuscheiden. Auch Bewegung, Wachstum, Reizverarbeitung und der Aufbau körpereigener Stoffe sind nur möglich, wenn der Zelle Energie zur Verfügung steht.

Dabei liegt Energie in der Biologie nicht einfach „frei“ vor, sondern wird in chemischen Verbindungen gespeichert und bei Bedarf nutzbar gemacht. Ein besonders wichtiges Molekül ist dabei ATP. ATP dient in der Zelle als kurzfristiger Energiespeicher und als Energieüberträger. Deshalb wird ATP auch als „Energiewährung“ der Zelle bezeichnet.

ATP steht für Adenosintriphosphat. Es ist ein energiereiches Molekül, das in allen lebenden Zellen vorkommt und eine zentrale Rolle im Energiestoffwechsel spielt. Ohne ATP könnten viele lebenswichtige Vorgänge nicht stattfinden, zum Beispiel Muskelbewegungen, Gehirnaktivität, Herzschlag, aktiver Stofftransport oder Atmung.

ATP besteht aus drei Hauptbestandteilen:
1. Adenin – eine stickstoffhaltige Base,
2. Ribose – ein Zucker mit fünf Kohlenstoffatomen,
3. drei Phosphatgruppen.

Adenin und Ribose zusammen bilden das Adenosin. An dieses Adenosin sind Phosphatgruppen gebunden. Genau diese Anzahl an Phosphatgruppen ist wichtig für den Namen des Moleküls.

Wenn ATP eine Phosphatgruppe abgibt, wird Energie frei, die die Zelle direkt nutzen kann. Dabei steckt die meiste Energie in der Bindung zwischen der zweiten und der dritten Phosphatgruppe. Bei der Abspaltung des zweiten Phosphats wird weniger Energie frei und bei der Abspaltung des ersten Phosphats noch weniger.

Aufgabe 3

Beurteile die Aussage: „ATP ist Energie.“

Aufgabe 4

Finde heraus, was der Unterschied zwischen einem Nukleotid mit der Base Adenin und dem Molekül ATP ist.

Recherchiere außerdem, wie viel ATP unser Körper immer speichert und wie viel ATP unser Körper durchschnittlich an einem Tag verbraucht.

g
g
Recherchiere die Werte und trage sie ein.

Hinweis

Beantworte alle 7 Fragen. Um fortzufahren, ist ein Fehler erlaubt. Du kannst den Test immer wiederholen.

Wissensabfrage